The Golden Ratio and User-Interface Design黃金比例與使用者介面設計
黃金比例雖然傳統上用於藝術和建築,但在介面設計中也可以作為參考,幫助設計出美觀的介面。
比例系統基於比率,已在建築和藝術中使用了幾個世紀。黃金比例(φ)最早可追溯至公元前500年,由菲迪亞斯(Phidias)、柏拉圖(Plato)和歐幾裡得(Euclid)提出。這一比例在歷史上多次被發現,因此有許多別名,如黃金均值、黃金比例、黃金分割、神聖比例(由達·芬奇提出)等。
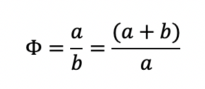
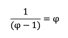
黃金比例的數學定義
黃金比例的定義:如果兩個數量 aa 和 bb (a>ba > b)滿足它們的比等於其和與較大數量之比,則稱它們滿足黃金比例:

黃金比例的值約為 1.618033...(無理數)。例如,1/0.618≈1.6181/0.618 \approx 1.618。


黃金比例與美學偏好
一項由 Giacomo Rizzolatti 和 Cinzia Di Dio 進行的研究表明,人類大腦可能天生偏好符合黃金比例的人體。參與者在觀看符合和不符合黃金比例的雕像影象時,符合黃金比例的原始影象啟用了特定的大腦細胞,而扭曲的版本未能啟用這些細胞。這暗示美感可能部分源於先天。
黃金比例在自然界、建築、繪畫和音樂中均有體現,通常被認為能創造出有機、平衡且吸引人眼球的構圖。經典例子包括:
- 建築:吉薩金字塔、雅典帕臺農神廟
- 藝術:達·芬奇的《蒙娜麗莎》

黃金矩形與黃金螺旋 (The Golden Rectangle and Spiral)


黃金矩形是指邊長比為黃金比例的矩形。其特殊性質是:若將矩形分割成一個正方形和一個較小的矩形,較小的矩形仍然是黃金矩形。
這種分割可以無限進行,最終形成黃金螺旋,連線每個正方形的對角點即可繪製出螺旋曲線。
黃金螺旋廣泛存在於自然界,如植物生長形態和天氣模式(如颶風)。

黃金比例在使用者介面設計中的應用 (Examples of the Golden Ratio in UI Design)
字型大小 (Text Sizes)
字型大小可以按照黃金比例調整。例如:
如果正文的字型大小為16px,則標題字型大小可為黃金比例的倍數: px。

行高(字型高度加行間空白)也可按照黃金比例調整,例如:正文字型為16px,行高為 px。

注意:行長度增加時,需要適當增大行高以維持可讀性。
圖片裁剪 (Image Cropping)
透過黃金螺旋確定圖片的焦點並進行裁剪,可快速建立視覺吸引力強的構圖。


網頁佈局 (Webpage Layout)
黃金矩形的分割自然形成了適合主要內容區和側邊欄的雙列布局。基於黃金比例建立的網格結構可為介面提供平衡感。雖然完全支援所有視口尺寸可能較難,但利用黃金比例基本網格能在部分螢幕尺寸上實現設計最佳化。

